MetaVault
Home
List of Compounds
MetaVault | Metabolites database
Explore detailed information on metabolites including formula, pathways, and enzymes.
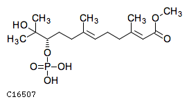
(10S)-Juvenile hormone III diol phosphate
MDBID
MDB00436
Formula
C
16
H
29
O
7
P
Pathway
00981
Insect hor
Enzyme
2D structure
Wireframe
Stick
Ball & Stick
Use mouse scroll to zoom in/out and right click for more options
Reactions Involving This Metabolite (KEGG)
R08154
← Back to Home