MetaVault
Home
List of Compounds
MetaVault | Metabolites database
Explore detailed information on metabolites including formula, pathways, and enzymes.
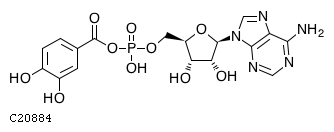
(3,4-Dihydroxybenzoyl)adenylate
MDBID
MDB00858
Formula
C
17
H
18
N
5
O
10
P
Pathway
01053
Biosynthesis of siderophore group nonriboso
Enzyme
6.2.1.62
2D structure
Wireframe
Stick
Ball & Stick
Use mouse scroll to zoom in/out and right click for more options
Reactions Involving This Metabolite (KEGG)
R12576
R12577
← Back to Home