MetaVault
Home
List of Compounds
MetaVault | Metabolites database
Explore detailed information on metabolites including formula, pathways, and enzymes.
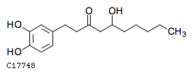
1-(3,4-Dihydroxyphenyl)-5-hydroxy-3-decanone
MDBID
MDB01221
Formula
C
16
H
24
O
4
Pathway
00945
Stilbenoid, diarylheptanoid and gingerol biosynthesis
01110
Biosynthesis of secondary
Enzyme
2.1.1.-
2D structure
Wireframe
Stick
Ball & Stick
Use mouse scroll to zoom in/out and right click for more options
Reactions Involving This Metabolite (KEGG)
R08799
R08802
R08804
← Back to Home