MetaVault
Home
List of Compounds
MetaVault | Metabolites database
Explore detailed information on metabolites including formula, pathways, and enzymes.
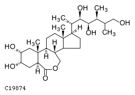
26-Hydroxybrassinolide
MDBID
MDB00426
Formula
C
28
H
48
O
7
Pathway
00905
Brassinosteroid biosynthesis
01110
Biosynthesis of secondary
Enzyme
1.14.-.-
2D structure
Wireframe
Stick
Ball & Stick
Use mouse scroll to zoom in/out and right click for more options
Reactions Involving This Metabolite (KEGG)
R09762
← Back to Home