MetaVault
Home
List of Compounds
MetaVault | Metabolites database
Explore detailed information on metabolites including formula, pathways, and enzymes.
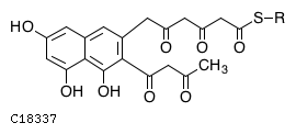
9,14-Decaketide intermediate 1
MDBID
MDB00801
Formula
C
20
H
17
O
8
SR
Pathway
01056
Biosynthesis of type II polyketide backbone
01057
Biosynthesis of type II polyketide products
01100
Metabolic pathways
01110
Biosynthesis of secondary
Enzyme
2.3.1.235 4.2.1.-
2D structure
Wireframe
Stick
Ball & Stick
Use mouse scroll to zoom in/out and right click for more options
Reactions Involving This Metabolite (KEGG)
R09269
R09355
← Back to Home