MetaVault
Home
List of Compounds
MetaVault | Metabolites database
Explore detailed information on metabolites including formula, pathways, and enzymes.
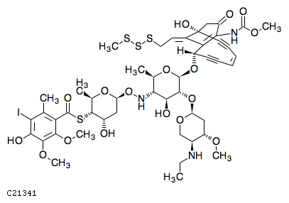
Calicheamicin alpha1(I)
MDBID
MDB00675
Formula
C
48
H
62
IN
3
O
17
S
4
Pathway
01059
Biosynthesis of enediyne antibiotics
01100
Metabolic pathways
01110
Biosynthesis of secondary
Enzyme
2.4.1.- 2.4.2.-
2D structure
Wireframe
Stick
Ball & Stick
Use mouse scroll to zoom in/out and right click for more options
Reactions Involving This Metabolite (KEGG)
R11420
R11422
← Back to Home