MetaVault
Home
List of Compounds
MetaVault | Metabolites database
Explore detailed information on metabolites including formula, pathways, and enzymes.
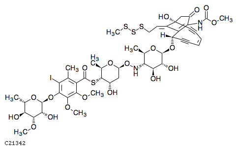
Calicheamicin alpha3(I)
MDBID
MDB00677
Formula
C
47
H
59
IN
2
O
19
S
4
Pathway
01059
Biosynthesis of enediyne antibiotics
01100
Metabolic pathways
01110
Biosynthesis of secondary
Enzyme
2.4.1.- 2.4.2.-
2D structure
Wireframe
Stick
Ball & Stick
Use mouse scroll to zoom in/out and right click for more options
Reactions Involving This Metabolite (KEGG)
R11421
R11423
← Back to Home