MetaVault
Home
List of Compounds
MetaVault | Metabolites database
Explore detailed information on metabolites including formula, pathways, and enzymes.
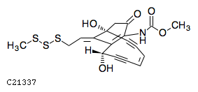
Calicheamicinone
MDBID
MDB00671
Formula
C
18
H
17
NO
5
S
3
Pathway
01059
Biosynthesis of enediyne antibiotics
01100
Metabolic pathways
01110
Biosynthesis of secondary
Enzyme
2.4.1.-
2D structure
Wireframe
Stick
Ball & Stick
Use mouse scroll to zoom in/out and right click for more options
Reactions Involving This Metabolite (KEGG)
R11417
← Back to Home