MetaVault
Home
List of Compounds
MetaVault | Metabolites database
Explore detailed information on metabolites including formula, pathways, and enzymes.
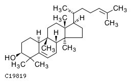
Cucurbitadienol
MDBID
MDB00130
Formula
C
30
H
50
O
Pathway
00909
Sesquiterpenoid and triterpenoid biosynthesis
00996
Biosynthesis of various alkaloids
01110
Biosynthesis of secondary
Enzyme
1.14.14.71 1.14.14.- 5.4.99.33
2D structure
Wireframe
Stick
Ball & Stick
Use mouse scroll to zoom in/out and right click for more options
Reactions Involving This Metabolite (KEGG)
R09688
R12007
R12008
R12833
← Back to Home