MetaVault
Home
List of Compounds
MetaVault | Metabolites database
Explore detailed information on metabolites including formula, pathways, and enzymes.
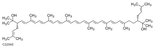
Dihydrobisanhydrobacterioruberin
MDBID
MDB00346
Formula
C
50
H
74
O
2
Pathway
00906
Carotenoid biosynthesis
01100
Metabolic pathways
01110
Biosynthesis of secondary
Enzyme
1.3.99.37 2.5.1.150
2D structure
Wireframe
Stick
Ball & Stick
Use mouse scroll to zoom in/out and right click for more options
Reactions Involving This Metabolite (KEGG)
R12286
R12709
← Back to Home