MetaVault
Home
List of Compounds
MetaVault | Metabolites database
Explore detailed information on metabolites including formula, pathways, and enzymes.
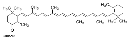
Echinenone;
MDBID
MDB00359
Formula
C
40
H
54
O
Pathway
00906
Carotenoid biosynthesis
01110
Biosynthesis of secondary
Enzyme
1.14.13.- 1.14.15.24 1.14.99.63
2D structure
Wireframe
Stick
Ball & Stick
Use mouse scroll to zoom in/out and right click for more options
Reactions Involving This Metabolite (KEGG)
R05345
R07561
R07562
R07563
R12179
R12180
← Back to Home