MetaVault
Home
List of Compounds
MetaVault | Metabolites database
Explore detailed information on metabolites including formula, pathways, and enzymes.
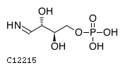
Iminoerythrose 4-phosphate;
MDBID
MDB00594
Formula
C
4
H
10
NO
6
P
Pathway
01051
Biosynthesis of ansa
01110
Biosynthesis of secondary
Enzyme
2.2.1.1
2D structure
Wireframe
Stick
Ball & Stick
Use mouse scroll to zoom in/out and right click for more options
Reactions Involving This Metabolite (KEGG)
R06590
R06591
← Back to Home