MetaVault
Home
List of Compounds
MetaVault | Metabolites database
Explore detailed information on metabolites including formula, pathways, and enzymes.
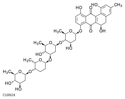
Landomycin J
MDBID
MDB00726
Formula
C
43
H
54
O
17
Pathway
01057
Biosynthesis of type II polyketide products
Enzyme
2D structure
Wireframe
Stick
Ball & Stick
Use mouse scroll to zoom in/out and right click for more options
Reactions Involving This Metabolite (KEGG)
R09360
R09361
← Back to Home