MetaVault
Home
List of Compounds
MetaVault | Metabolites database
Explore detailed information on metabolites including formula, pathways, and enzymes.
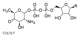
NDP-2-amino-4-oxo-2,6-dideoxy-D-galactose
MDBID
MDB00655
Formula
C
11
H
20
NO
13
P
2
R
Pathway
01059
Biosynthesis of enediyne antibiotics
01110
Biosynthesis of secondary
Enzyme
2D structure
Wireframe
Stick
Ball & Stick
Use mouse scroll to zoom in/out and right click for more options
Reactions Involving This Metabolite (KEGG)
R11432
R11433
← Back to Home