MetaVault
Home
List of Compounds
MetaVault | Metabolites database
Explore detailed information on metabolites including formula, pathways, and enzymes.
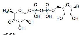
NDP-4-oxo-6-deoxy-D-mannose
MDBID
MDB00653
Formula
C
11
H
19
O
14
P
2
R
Pathway
01059
Biosynthesis of enediyne antibiotics
01110
Biosynthesis of secondary
Enzyme
2D structure
Wireframe
Stick
Ball & Stick
Use mouse scroll to zoom in/out and right click for more options
Reactions Involving This Metabolite (KEGG)
R11430
R11431
← Back to Home