MetaVault
Home
List of Compounds
MetaVault | Metabolites database
Explore detailed information on metabolites including formula, pathways, and enzymes.
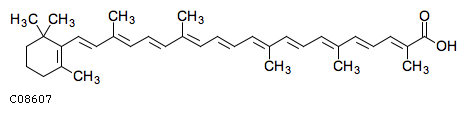
Neurosporaxanthin;
MDBID
MDB00354
Formula
C
35
H
46
O
2
Pathway
00906
Carotenoid biosynthesis
01100
Metabolic pathways
01110
Biosynthesis of secondary
Enzyme
1.2.1.82
2D structure
Wireframe
Stick
Ball & Stick
Use mouse scroll to zoom in/out and right click for more options
Reactions Involving This Metabolite (KEGG)
R09783
← Back to Home