MetaVault
Home
List of Compounds
MetaVault | Metabolites database
Explore detailed information on metabolites including formula, pathways, and enzymes.
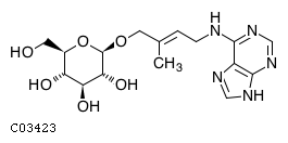
O-beta-D-Glucosylzeatin;
MDBID
MDB00482
Formula
C
16
H
23
N
5
O
6
Pathway
00908
Zeatin biosynthesis
01110
Biosynthesis of secondary
Enzyme
2.4.1.203
2D structure
Wireframe
Stick
Ball & Stick
Use mouse scroll to zoom in/out and right click for more options
Reactions Involving This Metabolite (KEGG)
R02118
← Back to Home