MetaVault
Home
List of Compounds
MetaVault | Metabolites database
Explore detailed information on metabolites including formula, pathways, and enzymes.
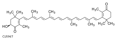
Phoenicoxanthin;
MDBID
MDB00377
Formula
C
40
H
52
O
3
Pathway
00906
Carotenoid biosynthesis
01110
Biosynthesis of secondary
Enzyme
1.14.15.24 1.14.99.63 1.14.99.64
2D structure
Wireframe
Stick
Ball & Stick
Use mouse scroll to zoom in/out and right click for more options
Reactions Involving This Metabolite (KEGG)
R07566
R07567
R07568
R07572
← Back to Home