MetaVault | Metabolites database

Explore detailed information on metabolites including formula, pathways, and enzymes.

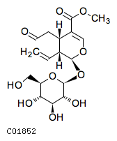
Secologanin;

MDBID MDB00013
Formula C17H24O10
Pathway
00901Indole alkaloid biosynthesis
00902Monoterpenoid biosynthesis
00950Isoquinoline alkaloid biosynthesis
01060Biosynthesis of plant secondary
01062Biosynthesis of terpenoids and steroids
01063Biosynthesis of alkaloids derived fro
01066Biosynthesis of alkaloids derived fro
01100Metabolic pathways
01110Biosynthesis of secondary
Enzyme 1.14.19.62 2.1.1.50 3.5.99.13 3.5.99.15
2D structure GIF of Secologanin;
Use mouse scroll to zoom in/out and right click for more options
Reactions Involving This Metabolite (KEGG)
← Back to Home