MetaVault | Metabolites database

Explore detailed information on metabolites including formula, pathways, and enzymes.

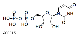
UDP;

MDBID MDB00473
Formula C9H14N2O12P2
Pathway
00240Pyri
00908Zeatin biosynthesis
01100Metabolic pathways
01232Nucleotide
01240Biosynthesis of cofactors
04080Neuroactive ligand-receptor interaction
Enzyme 1.17.4.1 2.4.1.11 2.4.1.12 2.4.1.13
2D structure GIF of UDP;
Use mouse scroll to zoom in/out and right click for more options
Reactions Involving This Metabolite (KEGG)
R00155 R00156 R00157 R00158 R00159 R00292 R00414 R00417 R00438 R00503 R00506 R00659 R00766 R00769 R00806 R00809 R00836 R00853 R00854 R01005 R01008 R01192 R01205 R01240 R01304 R01383 R01472 R01474 R01497 R01500 R01722 R01912 R01928 R01994 R01995 R01996 R01997 R02018 R02113 R02118 R02119 R02158 R02179 R02183 R02256 R02335 R02358 R02380 R02388 R02389 R02478 R02502 R02594 R02654 R02689 R02691 R02707 R02709 R02716 R02717 R02737 R02789 R02790 R02791 R02889 R02897 R02902 R02932 R02951 R03078 R03079 R03091 R03094 R03118 R03190 R03213 R03238 R03267 R03268 R03297 R03354 R03380 R03486 R03490 R03513 R03514 R03526 R03547 R03548 R03558 R03565 R03573 R03574 R03588 R03589 R03594 R03605 R03625 R03679 R03680 R03681 R03686 R03710 R03797 R03880 R03928 R03981 R03996 R04005 R04016 R04071 R04108 R04127 R04182 R04296 R04322 R04334 R04335 R04343 R04352 R04353 R04354 R04359 R04377 R04423 R04431 R04451 R04469 R04477 R04491 R04493 R04494 R04495 R04526 R04531 R04548 R04575 R04577 R04579 R04584 R04603 R04606 R04607 R04610 R04615 R04619 R04631 R04636 R04642 R04644 R04645 R04653 R04654 R04659 R04662 R04665 R04683 R04900 R04948 R05032 R05080 R05083 R05107 R05108 R05109 R05110 R05111 R05164 R05191 R05324 R05325 R05327 R05566 R05631 R05662 R05769 R05882 R06047 R06048 R06534 R06535 R06536 R06546 R06547 R06611 R06795 R06802 R06803 R06804 R06805 R06808 R06810 R06811 R06812 R06813 R06814 R06818 R06819 R06820 R06826 R06827 R06828 R06829 R06867 R07106 R07258 R07259 R07260 R07266 R07332 R07333 R07334 R07335 R07336 R07337 R07338 R07339 R07340 R07397 R07426 R07574 R07575 R07661 R07718 R07720 R07729 R07740 R07753 R07874 R07875 R07877 R07878 R07879 R07903 R07911 R07912 R07913 R07914 R07923 R07932 R08006 R08007 R08013 R08021 R08022 R08075 R08076 R08128 R08164 R08259 R08261 R08262 R08263 R08369 R08533 R08534 R08615 R08661 R08668 R08687 R08813 R08814 R08816 R08817 R08822 R08824 R08830 R08839 R08859 R08894 R08900 R09426 R09427 R09428 R09529 R09634 R09635 R09636 R09676 R09677 R09732 R09753 R09754 R09755 R09757 R09758 R09759 R09802 R09803 R09804 R09834 R09857 R10037 R10063 R10096 R10187 R10188 R10240 R10256 R10257 R10262 R10263 R10264 R10265 R10290 R10291 R10292 R10293 R10294 R10295 R10424 R10425 R10426 R10427 R10432 R10433 R10434 R10435 R10436 R10440 R10594 R10596 R10607 R10609 R10620 R10638 R10639 R10804 R10807 R10834 R10835 R10850 R10865 R10988 R10989 R10990 R11115 R11224 R11241 R11271 R11272 R11278 R11282 R11289 R11306 R11599 R11714 R11879 R11939 R11972 R12014 R12036 R12037 R12045 R12046 R12047 R12088 R12100 R12160 R12290 R12382 R12383 R12384 R12385 R12386 R12387 R12388 R12389 R12469 R12470 R12471 R12559 R12564 R12807 R12916 R12944 R12962 R12995 R13152 R13153 R13154 R13157 R13158 R13159 R13160 R13161 R13162 R13163 R13164 R13372
← Back to Home