MetaVault
Home
List of Compounds
MetaVault | Metabolites database
Explore detailed information on metabolites including formula, pathways, and enzymes.
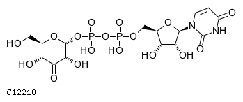
UDP-3-ketoglucose;
MDBID
MDB00589
Formula
C
15
H
22
N
2
O
17
P
2
Pathway
00524
Neo
01051
Biosynthesis of ansa
01110
Biosynthesis of secondary
01250
Biosynthesis of nucleotide sugars
Enzyme
1.1.1.- 2.6.1.-
2D structure
Wireframe
Stick
Ball & Stick
Use mouse scroll to zoom in/out and right click for more options
Reactions Involving This Metabolite (KEGG)
R06586
R06594
← Back to Home