MetaVault
Home
List of Compounds
MetaVault | Metabolites database
Explore detailed information on metabolites including formula, pathways, and enzymes.
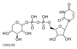
UDP-D-xylose;
MDBID
MDB00484
Formula
C
14
H
22
N
2
O
16
P
2
Pathway
00520
A
00908
Zeatin biosynthesis
01100
Metabolic pathways
01250
Biosynthesis of nucleotide sugars 2.4.2.50 2.4.2.51 2.4.2.56 2.4.2.- 2.7.7.11 2.7.7.64 2.7.8.32 4.1.1.35 5.1.3.5
Enzyme
2.4.2.24 2.4.2.32 2.4.2.35 2.4.2.40
2D structure
Wireframe
Stick
Ball & Stick
Use mouse scroll to zoom in/out and right click for more options
Reactions Involving This Metabolite (KEGG)
R01384
R01471
R01472
R01473
R01474
R02119
R03268
R03928
R06811
R06814
R09642
R10256
R10257
R10290
R10291
R10292
R10609
R11289
R13153
R13159
R13160
R13161
R13164
← Back to Home