MetaVault | Metabolites database

Explore detailed information on metabolites including formula, pathways, and enzymes.

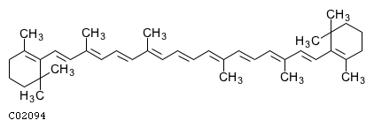
beta-Carotene;

MDBID MDB00357
Formula C40H56
Pathway
00830Retinol
00906Carotenoid biosynthesis
01060Biosynthesis of plant secondary
01062Biosynthesis of terpenoids and steroids
01070Biosynthesis of plant hor
01100Metabolic pathways
01110Biosynthesis of secondary
01240Biosynthesis of cofactors
04977Vita
Enzyme 1.3.99.39 1.13.11.63 1.13.11.71 1.14.13.-
2D structure GIF of beta-Carotene;
Use mouse scroll to zoom in/out and right click for more options
Reactions Involving This Metabolite (KEGG)
← Back to Home