MetaVault
Home
List of Compounds
MetaVault | Metabolites database
Explore detailed information on metabolites including formula, pathways, and enzymes.
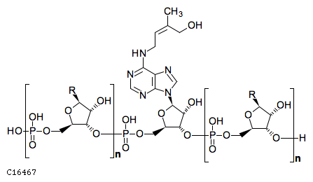
cis-Prenyl-tRNA;
MDBID
MDB00489
Formula
C
15
H
22
N
5
O
8
P(C
5
H
8
O
6
PR)n(C
5
H
8
O
6
PR)n
Pathway
00908
Zeatin biosynthesis
01110
Biosynthesis of secondary
Enzyme
2D structure
Wireframe
Stick
Ball & Stick
Use mouse scroll to zoom in/out and right click for more options
Reactions Involving This Metabolite (KEGG)
R08077
R08078
← Back to Home