MetaVault
Home
List of Compounds
MetaVault | Metabolites database
Explore detailed information on metabolites including formula, pathways, and enzymes.
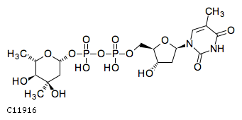
dTDP-L-mycarose;
MDBID
MDB00502
Formula
C
17
H
28
N
2
O
14
P
2
Pathway
00522
Biosynthesis of 12-, 14- and 16-
00523
Polyketide sugar unit biosynthesis
01100
Metabolic pathways
01110
Biosynthesis of secondary
01250
Biosynthesis of nucleotide sugars
Enzyme
1.1.1.- 2.4.1.318 2.4.1.328
2D structure
Wireframe
Stick
Ball & Stick
Use mouse scroll to zoom in/out and right click for more options
Reactions Involving This Metabolite (KEGG)
R05530
R06436
R06452
← Back to Home