MetaVault
Home
List of Compounds
MetaVault | Metabolites database
Explore detailed information on metabolites including formula, pathways, and enzymes.
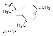
gamma-Humulene
MDBID
MDB00118
Formula
C
15
H
24
Pathway
00909
Sesquiterpenoid and triterpenoid biosynthesis
01100
Metabolic pathways
01110
Biosynthesis of secondary
Enzyme
4.2.3.56
2D structure
Wireframe
Stick
Ball & Stick
Use mouse scroll to zoom in/out and right click for more options
Reactions Involving This Metabolite (KEGG)
R08540
← Back to Home