MetaVault
Home
List of Compounds
MetaVault | Metabolites database
Explore detailed information on metabolites including formula, pathways, and enzymes.
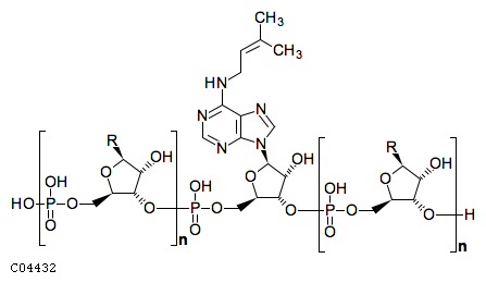
tRNA containing 6-isopentenyladenosine;
MDBID
MDB00488
Formula
C
15
H
22
N
5
O
7
P(C
5
H
8
O
6
PR)n(C
5
H
8
O
6
PR)n
Pathway
00908
Zeatin biosynthesis
01100
Metabolic pathways
01110
Biosynthesis of secondary
Enzyme
2.5.1.75 2.8.4.3
2D structure
Wireframe
Stick
Ball & Stick
Use mouse scroll to zoom in/out and right click for more options
Reactions Involving This Metabolite (KEGG)
R01122
R08077
R10645
R10646
← Back to Home